FotobusΜεταφορά με λεωφορείο

Picture Statistics

245 KB


Picture ID:99922
File Size:245 KB
Συγγραφέας:Александр Стаканов
Publication Date:26.04.2009 21:06 MSK
Days in Database:6156
Unique views:388
Comments:0

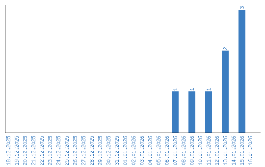
Viewing statistics by date