ФотабусАўтобусны транспарт

Iнфармацыя аб малюнку

283 КБ


Ідэнтыфікатар малюнка:990005
Памер файла:283 КБ
Аўтар:LAEN
Апублікавана:09.10.2013 12:38 MSK
Знаходзіцца на сайце, дзён:4508
Унікальных праглядаў:427
Каментарыяў:1

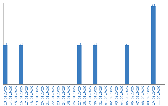
Дынаміка праглядаў па датах