ФотобусАвтобусный транспорт

Информация об изображении

287 КБ


Идентификатор изображения:981974
Размер файла:287 КБ
Автор:IVZ
Опубликовано:29.09.2013 23:27 MSK
Находится на сайте, дней:4431
Уникальных просмотров:675
Комментариев:16

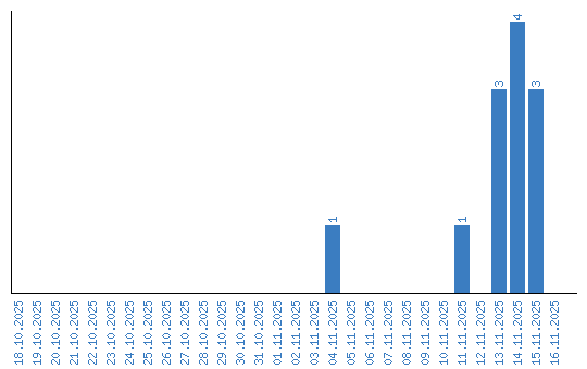
Динамика просмотров по датам