ФотобусАвтобусный транспорт

Информация об изображении

291 КБ


Идентификатор изображения:970239
Размер файла:291 КБ
Автор:Юрась
Опубликовано:17.09.2013 16:44 MSK
Находится на сайте, дней:4640
Уникальных просмотров:504
Комментариев:0

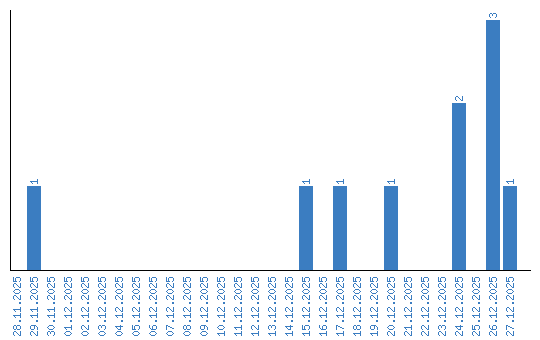
Динамика просмотров по датам