FotobusAutobusová doprava

Statistika obrázku

256 kB


Identifikátor obrázku:968899
Velikost souboru:256 kB
Autor:Alex-Od
Zveřejněno:15.09.2013 23:42 MSK
Nachází se na stránkách (dní):4532
Jednotlivých zhlédnutí:243
Komentářů:0

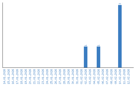
Zhlédnutí po jednotlivých dnech