ФотобусАвтобусный транспорт

Информация об изображении

343 КБ


Идентификатор изображения:968219
Размер файла:343 КБ
Автор:tsl946
Опубликовано:15.09.2013 12:38 MSK
Находится на сайте, дней:4455
Уникальных просмотров:303
Комментариев:0

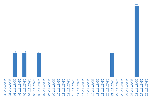
Динамика просмотров по датам