FotobusAutobusų transportas

Nuotraukos informacija

299 KB


Nuotraukos identifikatorius:967277
Bylos dydis:299 KB
Autorius:ValerG781
Publikuota:13.09.2013 22:33 MSK
Yra tinklapyje dienų:4478
Unikalių peržiūrų:456
Komentarų:0

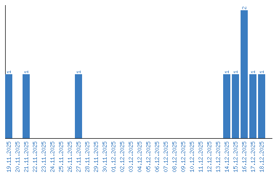
Peržiūrų dinamika pagal dienas