ФотобусАвтобусный транспорт

Информация об изображении

331 КБ


Идентификатор изображения:952325
Размер файла:331 КБ
Автор:Grenadier_Thomas
Опубликовано:23.08.2013 01:14 MSK
Находится на сайте, дней:4563
Уникальных просмотров:359
Комментариев:0

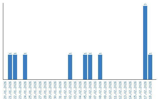
Динамика просмотров по датам