FotobusΜεταφορά με λεωφορείο

Picture Statistics

180 KB


Picture ID:947613
File Size:180 KB
Συγγραφέας:mixkol
Publication Date:16.08.2013 18:09 MSK
Days in Database:4433
Unique views:496
Comments:0

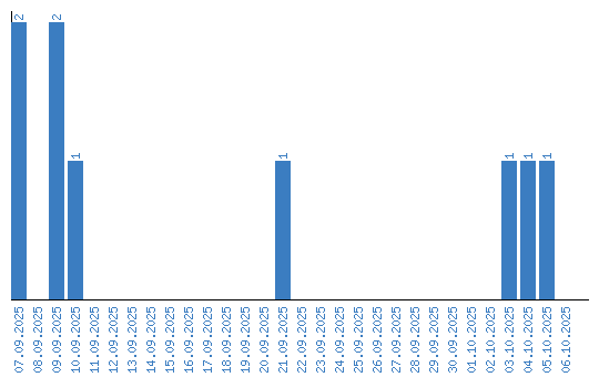
Viewing statistics by date