ФотобусАвтобусный транспорт

Информация об изображении

134 КБ


Идентификатор изображения:93158
Размер файла:134 КБ
Автор:Юрий А.
Опубликовано:10.04.2009 23:53 MSK
Находится на сайте, дней:6199
Уникальных просмотров:426
Комментариев:0

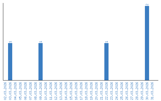
Динамика просмотров по датам