ФотобусАвтобусный транспорт

Информация об изображении

274 КБ


Идентификатор изображения:926374
Размер файла:274 КБ
Автор:Дим Гусаров
Опубликовано:18.07.2013 00:13 MSK
Находится на сайте, дней:4494
Уникальных просмотров:406
Комментариев:0

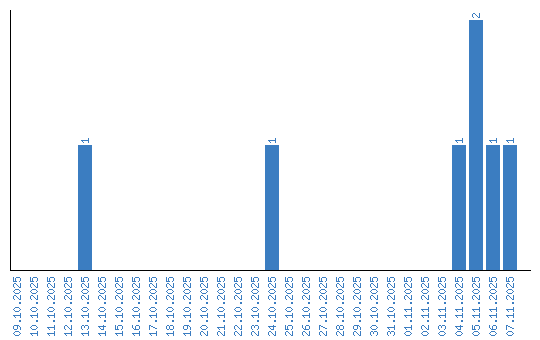
Динамика просмотров по датам