FotobusAutobusų transportas

Nuotraukos informacija

122 KB


Nuotraukos identifikatorius:91934
Bylos dydis:122 KB
Autorius:Anry KB
Publikuota:07.04.2009 23:59 MSK
Yra tinklapyje dienų:6056
Unikalių peržiūrų:408
Komentarų:0

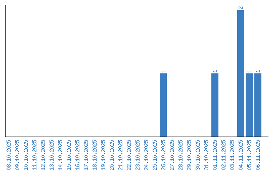
Peržiūrų dinamika pagal dienas