FotobusΜεταφορά με λεωφορείο

Picture Statistics

339 KB


Picture ID:915452
File Size:339 KB
Συγγραφέας:Neches
Publication Date:02.07.2013 10:42 MSK
Days in Database:4627
Unique views:415
Comments:7

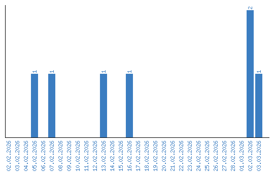
Viewing statistics by date