ФотобусАвтобустар галереясы

Информация об изображении

296 КБ


Идентификатор изображения:908059
Размер файла:296 КБ
Автор:skoda 727
Опубликовано:20.06.2013 13:25 MSK
Находится на сайте, дней:4521
Уникальных просмотров:418
Комментариев:0

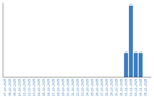
Динамика просмотров по датам