ФотобусАвтобусный транспорт

Информация об изображении

315 КБ


Идентификатор изображения:903795
Размер файла:315 КБ
Автор:Konstantin71
Опубликовано:13.06.2013 16:51 MSK
Находится на сайте, дней:4661
Уникальных просмотров:387
Комментариев:0

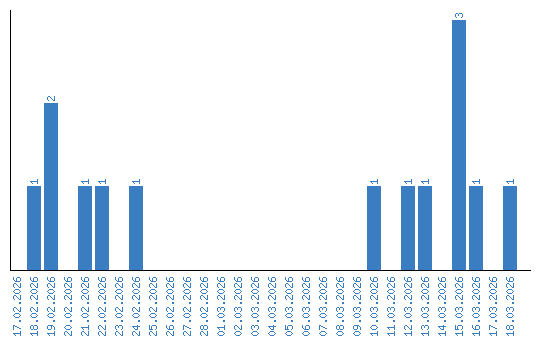
Динамика просмотров по датам