ФотобусАвтобусный транспорт

Информация об изображении

289 КБ


Идентификатор изображения:890861
Размер файла:289 КБ
Автор:Андрей Воронцов
Опубликовано:25.05.2013 23:47 MSK
Находится на сайте, дней:4548
Уникальных просмотров:381
Комментариев:1

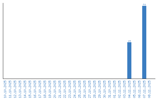
Динамика просмотров по датам