ФотобусАвтобусный транспорт

Информация об изображении

100 КБ


Идентификатор изображения:88065
Размер файла:100 КБ
Автор:Сергей Филатов
Опубликовано:28.03.2009 23:29 MSK
Находится на сайте, дней:6252
Уникальных просмотров:592
Комментариев:0

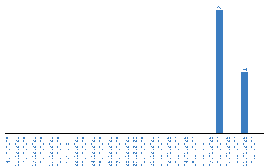
Динамика просмотров по датам