ФотобусАвтобусный транспорт

Информация об изображении

348 КБ


Идентификатор изображения:879334
Размер файла:348 КБ
Автор:madyar
Опубликовано:07.05.2013 11:54 MSK
Находится на сайте, дней:4677
Уникальных просмотров:251
Комментариев:0

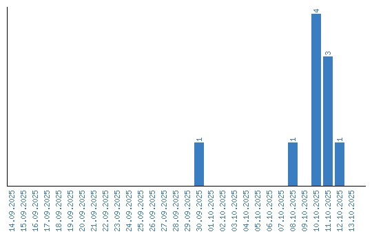
Динамика просмотров по датам