FotobusAutobusų transportas

Nuotraukos informacija

341 KB


Nuotraukos identifikatorius:878620
Bylos dydis:341 KB
Autorius:Serginho
Publikuota:06.05.2013 22:26 MSK
Yra tinklapyje dienų:4608
Unikalių peržiūrų:439
Komentarų:0

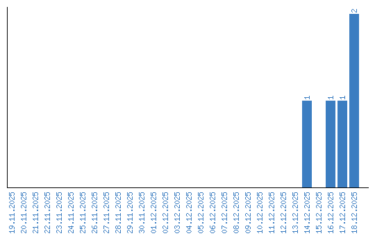
Peržiūrų dinamika pagal dienas