ФотобусАвтобусний транспорт

Статистика по зображенню

144 КБ


Ідентифікатор зображення:876723
Розмір файлу:144 КБ
Автор:Лаврентьев Сергей
Опубліковано:04.05.2013 17:22 MSK
Знаходиться на сайті, днів:4679
Унікальних переглядів:297
Коментарів:7

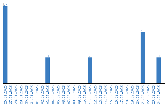
Динаміка переглядів за датами