ФотобусАвтобусний транспорт

Статистика по зображенню

347 КБ


Ідентифікатор зображення:86621
Розмір файлу:347 КБ
Автор:Исайченков Валерий
Опубліковано:24.03.2009 22:57 MSK
Знаходиться на сайті, днів:6114
Унікальних переглядів:401
Коментарів:0

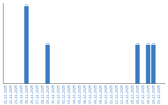
Динаміка переглядів за датами