ФотобусАвтобусный транспорт

Информация об изображении

179 КБ


Идентификатор изображения:86570
Размер файла:179 КБ
Автор:kda1981
Опубликовано:24.03.2009 22:35 MSK
Находится на сайте, дней:6160
Уникальных просмотров:361
Комментариев:0

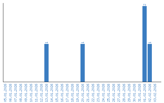
Динамика просмотров по датам