ФотобусАвтобусный транспорт

Информация об изображении

320 КБ


Идентификатор изображения:857409
Размер файла:320 КБ
Автор:HAV
Опубликовано:01.04.2013 09:17 MSK
Находится на сайте, дней:4605
Уникальных просмотров:365
Комментариев:0

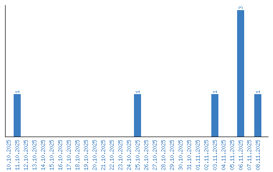
Динамика просмотров по датам