ФотобусАвтобусный транспорт

Информация об изображении

341 КБ


Идентификатор изображения:857090
Размер файла:341 КБ
Автор:Евгений Буюкли
Опубликовано:31.03.2013 17:53 MSK
Находится на сайте, дней:4717
Уникальных просмотров:564
Комментариев:3

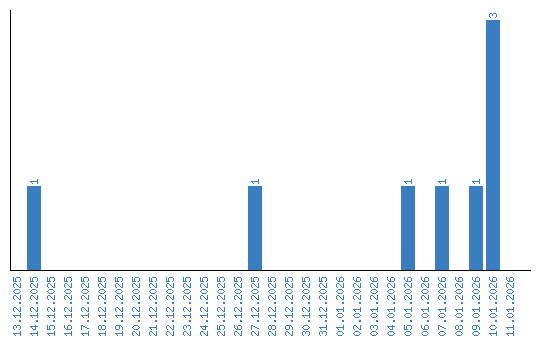
Динамика просмотров по датам