FotobusBusverkehr

Bildinformationen

349 KB


Foto-ID:855757
Dateigröße:349 KB
Aufgenommen von:Serginho
Veröffentlicht am:29.03.2013 22:58 MSK
Tage seit Veröffentlichung:4721
Aufrufe:210
Kommentare:0

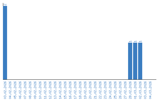
Aufrufestatistik (Tage)