ФотобусАвтобусный транспорт

Информация об изображении

276 КБ


Идентификатор изображения:846392
Размер файла:276 КБ
Автор:Александр Сологубов
Опубликовано:12.03.2013 18:38 MSK
Находится на сайте, дней:4766
Уникальных просмотров:612
Комментариев:0

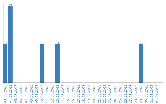
Динамика просмотров по датам