ФотобусАвтобусный транспорт

Информация об изображении

339 КБ


Идентификатор изображения:843035
Размер файла:339 КБ
Автор:43RUS
Опубликовано:08.03.2013 17:49 MSK
Находится на сайте, дней:4648
Уникальных просмотров:197
Комментариев:0

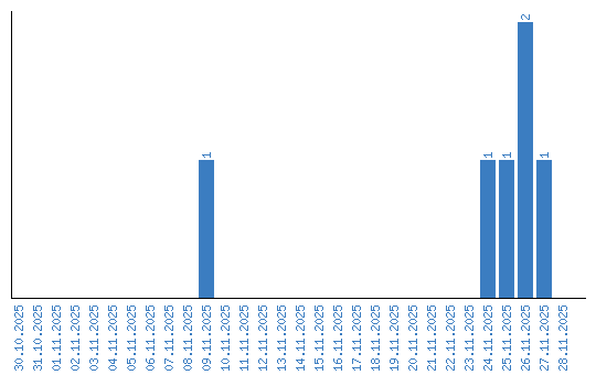
Динамика просмотров по датам