FotobusΜεταφορά με λεωφορείο

Picture Statistics

346 KB


Picture ID:834891
File Size:346 KB
Συγγραφέας:Hunter
Publication Date:23.02.2013 11:42 MSK
Days in Database:4653
Unique views:247
Comments:0

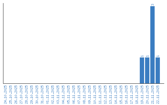
Viewing statistics by date