ФотобусАвтобусный транспорт

Информация об изображении

348 КБ


Идентификатор изображения:829921
Размер файла:348 КБ
Автор:КЖ
Опубликовано:15.02.2013 13:07 MSK
Находится на сайте, дней:4781
Уникальных просмотров:577
Комментариев:7

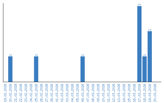
Динамика просмотров по датам