ФотобусАвтобусный транспорт

Информация об изображении

304 КБ


Идентификатор изображения:801978
Размер файла:304 КБ
Автор:Artemka A.
Опубликовано:30.12.2012 18:29 MSK
Находится на сайте, дней:4816
Уникальных просмотров:356
Комментариев:0

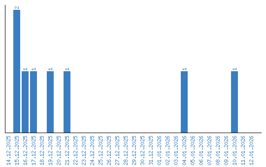
Динамика просмотров по датам