FotobusΜεταφορά με λεωφορείο

Picture Statistics

498 KB


Picture ID:795829
File Size:498 KB
Συγγραφέας:A G
Publication Date:16.12.2012 00:02 MSK
Days in Database:4751
Unique views:348
Comments:0

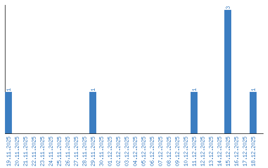
Viewing statistics by date