ФотабусАўтобусны транспарт

Iнфармацыя аб малюнку

343 КБ


Ідэнтыфікатар малюнка:788314
Памер файла:343 КБ
Аўтар:yR29ik
Апублікавана:28.11.2012 22:35 MSK
Знаходзіцца на сайце, дзён:4710
Унікальных праглядаў:396
Каментарыяў:0

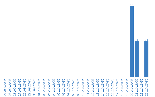
Дынаміка праглядаў па датах