ФотобусАвтобусный транспорт

Информация об изображении

345 КБ


Идентификатор изображения:777321
Размер файла:345 КБ
Автор:Олег Н.
Опубликовано:07.11.2012 11:22 MSK
Находится на сайте, дней:4908
Уникальных просмотров:225
Комментариев:0

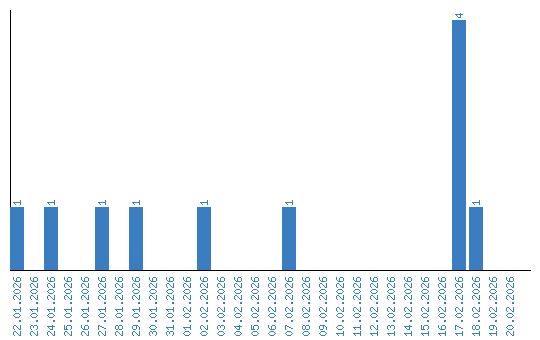
Динамика просмотров по датам