ФотобусАвтобусный транспорт

Информация об изображении

346 КБ


Идентификатор изображения:758789
Размер файла:346 КБ
Автор:Nestandart
Опубликовано:09.10.2012 23:21 MSK
Находится на сайте, дней:4900
Уникальных просмотров:269
Комментариев:0

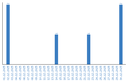
Динамика просмотров по датам