FotobusTransport autobusowy

Informacja o zdjęciu

299 kB


Identyfikator zdjęcia:753927
Rozmiar pliku:299 kB
Autor:Андрей Кравчук
Opublikowano:04.10.2012 12:59 MSK
Znajduje się na stronę, dni:4889
Odsłon:262
Komentarzy:0

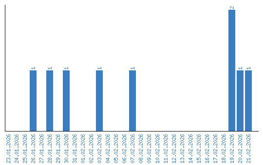
Liczba oglądających wg dat