ФотобусАвтобустар галереясы

Информация об изображении

196 КБ


Идентификатор изображения:753449
Размер файла:196 КБ
Автор:aRa
Опубликовано:03.10.2012 23:34 MSK
Находится на сайте, дней:4904
Уникальных просмотров:388
Комментариев:0

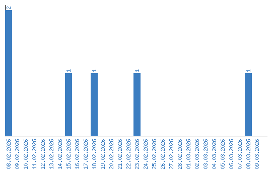
Динамика просмотров по датам