FotobusΜεταφορά με λεωφορείο

Picture Statistics

311 KB


Picture ID:750919
File Size:311 KB
Συγγραφέας:tavalex2007
Publication Date:30.09.2012 13:14 MSK
Days in Database:4829
Unique views:335
Comments:3

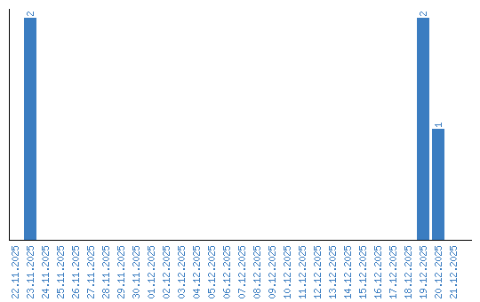
Viewing statistics by date