Duomenų bazė
Modeliai
Šalys ir regionai
Papildoma
Naujienos ir chronologija
Įvairios foto galerijos
Nuorodos
Komentarai
Nauja
Naujos nuotraukos
Naujienų juosta
Visos naujienos pagal datas
Pagalba
Tinklapio taisyklės
Nuotraukų atrankos kriterijai
Nuotraukų įkėlimo taisyklės
Photo reject reasons
Forumas
Paieška
Nuotraukų paieška
Transporto priemonių paieška
Komentarų paieška
Autorių paieška
Prisijungti
Registracija
Lietuvių
Русский
Беларуская
Українська
Қазақ тілі
Polski
Čeština
English
Español
Deutsch
Lietuvių
Latviešu
Magyar
Ελληνικά
Autobusų transportas
Nuotraukos informacija
Nuotraukos identifikatorius:
746104
Bylos dydis:
311 KB
Autorius:
maxiWELL
Publikuota:
23.09.2012 19:53 MSK
Yra tinklapyje dienų:
4769
Unikalių peržiūrų:
520
Komentarų:
0
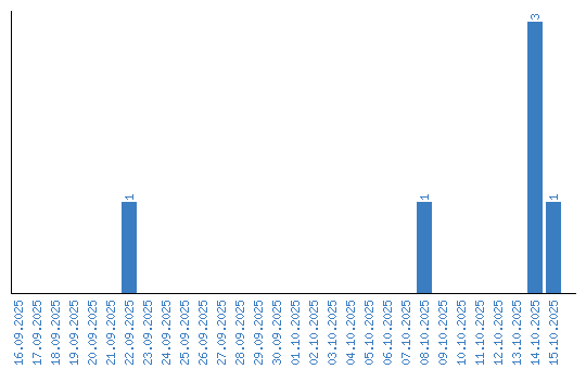
Peržiūrų dinamika pagal dienas
Pradžia
Forumas
Taisyklės
© Fotobus administracija ir turinio autoriai, 2007—2025
Nuotraukų ir kito tinklapyje esančio turinio naudojimas galimas tik gavus turinio autorių sutikimą.