ФотобусАвтобусный транспорт

Информация об изображении

227 КБ


Идентификатор изображения:745930
Размер файла:227 КБ
Автор:Антон Яковлев
Опубликовано:23.09.2012 16:12 MSK
Находится на сайте, дней:4944
Уникальных просмотров:220
Комментариев:0

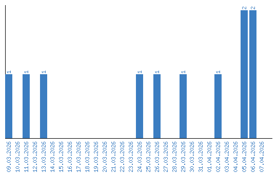
Динамика просмотров по датам