ФотобусАвтобусный транспорт

Информация об изображении

345 КБ


Идентификатор изображения:745089
Размер файла:345 КБ
Автор:Star2007
Опубликовано:22.09.2012 09:56 MSK
Находится на сайте, дней:4794
Уникальных просмотров:349
Комментариев:0

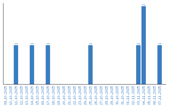
Динамика просмотров по датам