FotobusΜεταφορά με λεωφορείο

Picture Statistics

344 KB


Picture ID:735106
File Size:344 KB
Συγγραφέας:Technicman
Publication Date:05.09.2012 22:07 MSK
Days in Database:4804
Unique views:369
Comments:0

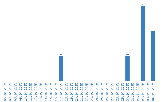
Viewing statistics by date