FotobusAutobusų transportas

Nuotraukos informacija

348 KB


Nuotraukos identifikatorius:719372
Bylos dydis:348 KB
Autorius:Ashark94
Publikuota:13.08.2012 11:20 MSK
Yra tinklapyje dienų:4852
Unikalių peržiūrų:167
Komentarų:0

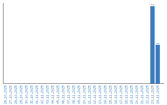
Peržiūrų dinamika pagal dienas