ФотобусАвтобусный транспорт

Информация об изображении

239 КБ


Идентификатор изображения:710461
Размер файла:239 КБ
Автор:Сергей Якунин
Опубликовано:31.07.2012 23:46 MSK
Находится на сайте, дней:4914
Уникальных просмотров:364
Комментариев:0

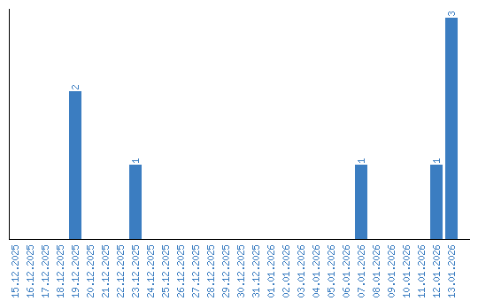
Динамика просмотров по датам