ФотобусАвтобусный транспорт

Информация об изображении

343 КБ


Идентификатор изображения:701526
Размер файла:343 КБ
Автор:Vepr
Опубликовано:17.07.2012 09:36 MSK
Находится на сайте, дней:4928
Уникальных просмотров:331
Комментариев:0

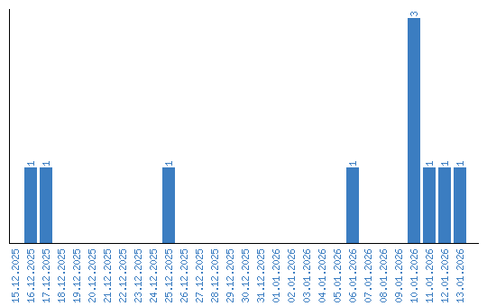
Динамика просмотров по датам