ФотобусАвтобусный транспорт

Информация об изображении

323 КБ


Идентификатор изображения:681565
Размер файла:323 КБ
Автор:Альтерна 4216
Опубликовано:12.06.2012 23:52 MSK
Находится на сайте, дней:5043
Уникальных просмотров:190
Комментариев:0

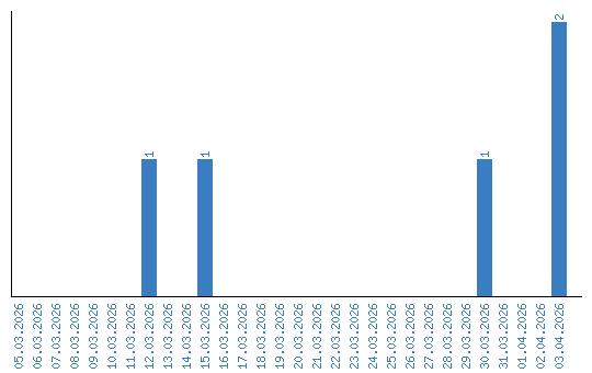
Динамика просмотров по датам