ФотобусАвтобусный транспорт

Информация об изображении

308 КБ


Идентификатор изображения:678609
Размер файла:308 КБ
Автор:ariss_ka
Опубликовано:08.06.2012 08:35 MSK
Находится на сайте, дней:5007
Уникальных просмотров:394
Комментариев:0

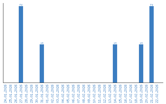
Динамика просмотров по датам