ФотобусАвтобусный транспорт

Информация об изображении

467 КБ


Идентификатор изображения:672299
Размер файла:467 КБ
Автор:A G
Опубликовано:29.05.2012 00:32 MSK
Находится на сайте, дней:5061
Уникальных просмотров:517
Комментариев:0

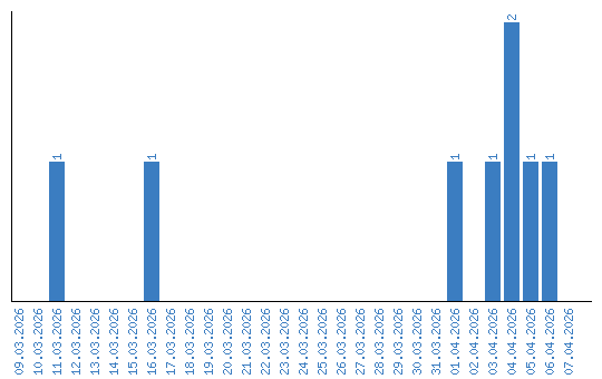
Динамика просмотров по датам