ФотобусАвтобустар галереясы

Информация об изображении

334 КБ


Идентификатор изображения:648544
Размер файла:334 КБ
Автор:MakcuM
Опубликовано:25.04.2012 21:24 MSK
Находится на сайте, дней:4921
Уникальных просмотров:694
Комментариев:3

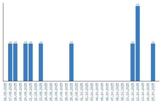
Динамика просмотров по датам