ФотобусАвтобусный транспорт

Информация об изображении

297 КБ


Идентификатор изображения:634042
Размер файла:297 КБ
Автор:семён кузнецов
Опубликовано:01.04.2012 01:40 MSK
Находится на сайте, дней:4948
Уникальных просмотров:372
Комментариев:0

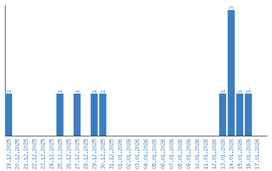
Динамика просмотров по датам