FotobusBusverkehr

Bildinformationen

195 KB


Foto-ID:63058
Dateigröße:195 KB
Aufgenommen von:Владимир
Veröffentlicht am:27.12.2008 21:22 MSK
Tage seit Veröffentlichung:6167
Aufrufe:545
Kommentare:0

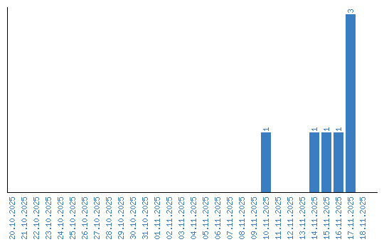
Aufrufestatistik (Tage)